어젯밤에는 오래간만에 날씨가 좋아서 새벽에 담배 태우러 아파트 복도에 나서서 하늘을 보니 은하수가 보이더군요.
지난 주말에 아들 녀석이 그렇게 은하수를 보고 싶어 했는데...
주말 내내 날이 궂더니 어제오늘은 날이 참 좋습니다.
2023년이 시작된 지 7달이 넘었고 다음 주에 아들이 올 테니 은하수 구경 좀 하라 해야겠어요.
날이 맑으면 좋을 텐데.
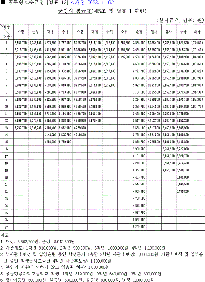
아직은 2023년이니, 2023년 공무원 봉급에 대해서 포스팅해 봅니다.
7급 공무원 연봉이건 6급, 5급 사무관 연봉, 가장 말단인 8급 9급 공무원 연봉은 위 표와 같은 공무원 봉급표의 계급-호봉의 월급 액수에 1년에 해당하는 12를 곱해서 그 뒤에 각종 공무원 수당을 더해야 합니다.

특히 5급 공무원 연봉 계산 시 주의해야 할 점은 이 공무원 보수표들이 1호봉부터 나열되어 있지만, 실제로는 고위 공무원 중에 1호봉부터 시작하는 고위 공무원은 흔치 않습니다.
경험상 생각해 보면 지금 현재의 호봉 체계로는 최소 8호봉 내지 10호봉 이상을 기준으로 잡아야 5급 공무원 연봉이 얼추 비슷할 것 같다는 생각이 듭니다.
행시, 외무고시 등의 고등고시를 통해 5급 공무원으로 임용되었다면 1호봉으로 시작할 확률도 제법 되긴 합니다.
하지만 요즘처럼 7급 시험도 어려워서 9급 공무원부터 시작해서 승진을 통해 6급을 거쳐 5급 사무관으로 승진한 케이스라면, 호봉이 꽤 높겠죠?
9급부터 시작해서 5급이 되려면 나이도 많고 호봉도 높을 확률이 큽니다.
그나마 7급 공무원으로 시작해서 승진시험을 통해서 고위공무원인 5급으로 승진 임용된다면 대략 8~10호봉에 걸칠 확률이 높습니다.
6급, 7급, 8급, 9급 공무원 실수령액은 이 기본급 월급에 정액급식비, 직급보조비, 가족수당, 정근 가산금, 시간 외 수당 등의 수당을 더해야 합니다.



2023 가족수당, 시간 외 수당은 개인마다 차이가 크기 때문에 케바케로 다릅니다.
시간 외 수당은 4급 이상에게는 주어지지 않습니다.
5급 이하 공무원만 시간 외 근무수당을 받을 수 있습니다.
수당이 붙기만 하면 좋겠지만 공제금도 있습니다.
소득세와 지방소득세, 건강보험료, 공무원 연금 기여금, 대한 공제회비가 공제됩니다.
이 중에서 공무원 연금 기여금이 대체로 큰 몫을 차지하는데요.
공무원 연금기여금은 일종의 저축이니... 실수령액을 깎아 먹지만, 혜택인 셈이죠.
2023년 공무원 봉급 인상률은 1.7% 정도 인상되었습니다.
2024년 공무원 봉급 인상률은 2.3%~3.1%라고 합니다. 5급 이상 공무원은 2.3% 인상, 6급 이하는 3.1% 인상하도록 공무원 보수위원회가 권고했습니다. 대체로 이 결정은 잘 받아들여집니다.
많은 분들이 공무원은 고용이 보장된다고 해서 철밥통이니 하면서 부러워하시는 분들이 많습니다만...
어느 직장이건 스트레스 없는 직장이 있겠습니까?
제가 복무하던 때에도 대위에서 소령 승진, 소령에서 중령 진급을 오랫동안 못하면... 결국 스스로 예편을 선택해야만 했죠.
마냥 고용이 보장되지만은 않습니다.
특히 군인은 평생직장으로 삼기에는 경쟁이 너무 치열한 직렬이죠.
선생님들도 교원평가에 스트레스를 받죠.
제 둘째 아들도 일반 공무원인데... 그 녀석은 창구에서 민원인들 때문에 스트레스를 받더군요.
웬만하면 안 잘리니까 공무원이라는 직업이 최고다? 는 아닌 것 같네요.

'직업 직장' 카테고리의 다른 글
| 2024년 군인 봉급표 월급표 (장교, 부사관, 병사 월급) (0) | 2023.09.06 |
|---|---|
| 경찰 계급체계 계급표 및 휘장 모양 (0) | 2023.09.04 |
| 고용노동부 임금체불 신고 (0) | 2023.06.20 |
| 2021년 우정직 공무원 봉급표 2021 집배원 월급 (0) | 2021.03.07 |
| 삼일절 공휴일 3월2일 대체휴일 아님. 근로기준법 공휴일 연차대체도 폐지 (0) | 2021.02.27 |
목차
댓글