반응형
2025년 공무원 봉급표 3% 인상 확인하기
2025년 정부가 발표한 공무원 보수 인상안이 화제입니다. 2017년 이후 8년 만에 최대 인상폭인 3.0%를 기록하며 특히 저연차·저호봉 공무원들에게 실질적 보탬이 될 전망입니다. 국민 세금으로 운영되는 공직사회인 만큼, 인상 폭과 적정성에 대한 의견이 분분하지만 이번 인상안은 물가 상승률 및 민간 임금 상승 추이를 고려한 합리적 조정으로 평가받고 있습니다. 이 글에서는 2025년 일반직·교원·경찰·소방공무원을 포함한 전반적인 봉급표 변화와 수당 개선 내용, 실수령액 계산법까지 상세히 살펴보겠습니다.
2025년 공무원 보수 인상 핵심 내용

3.0% 기본 인상
- 전 계급 동일 적용
모든 공무원 계급의 기본급이 최소 3.0% 이상 인상되었습니다. - 저연차 추가 혜택
호봉 구간별로 차등 인상폭을 적용해 1~5호봉은 3.5%까지 반영되었습니다.
인상 배경 및 의미
- 물가 상승률 반영
2024년 소비자물가지수 상승률(2.8%)을 상회하는 수준으로, 실질 구매력 보호 목적 - 민간 임금 추이 고려
민간 기업 임금 상승률(평균 2.5% 내외) 대비 소폭 높은 수준 유지 - 저연차 집중 지원
초기 경력 공무원의 생활 안정 도모 및 인력 유출 방지
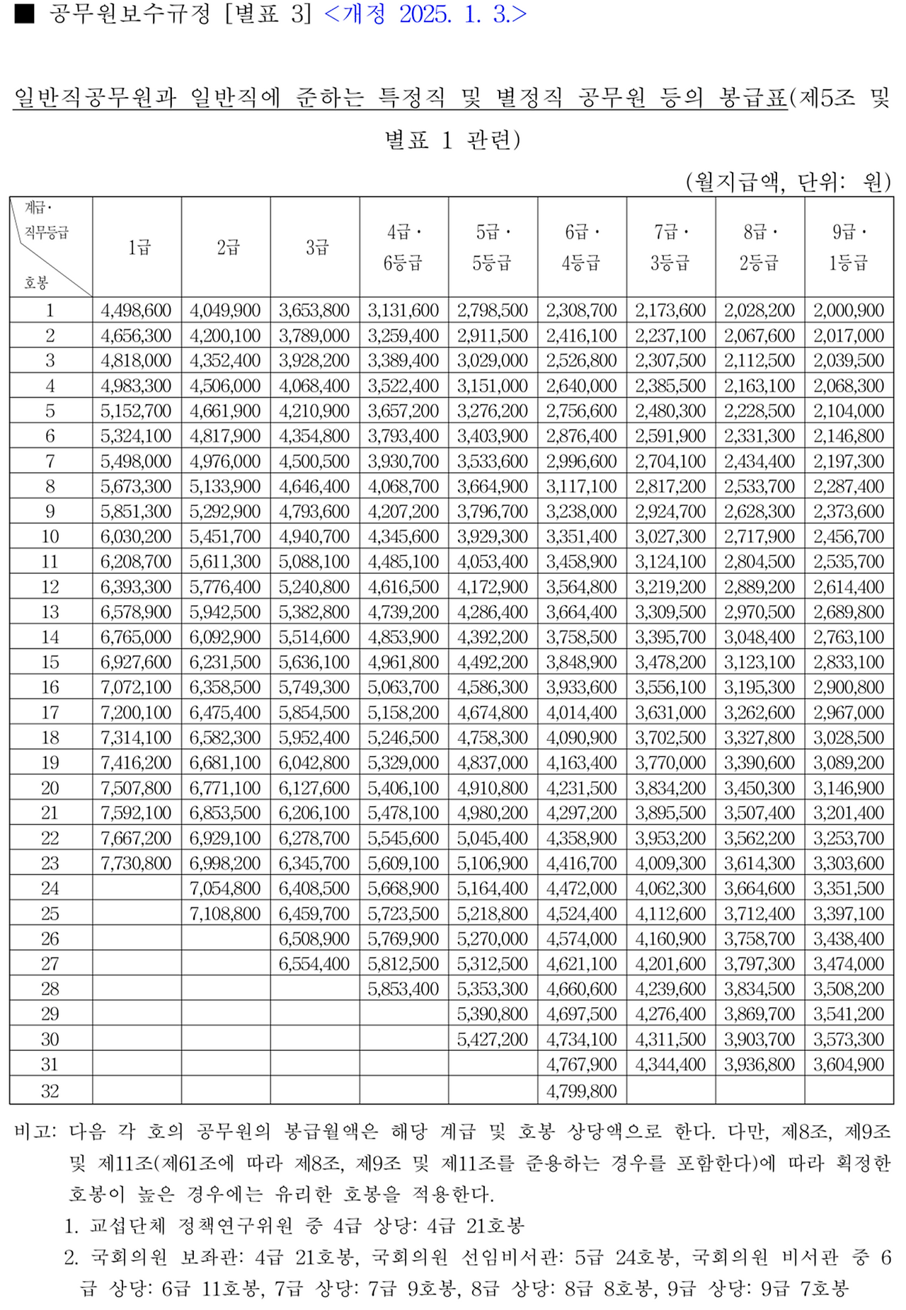
2025년 계급별 1호봉 급여 현황
일반직 공무원
- 1급 1호봉: 4,210,300원 → 4,336,600원
- 2급 1호봉: 3,701,200원 → 3,812,200원
- 3급 1호봉: 3,202,400원 → 3,298,500원
- 4급 1호봉: 2,798,500원 → 2,882,500원
- 5급 1호봉: 2,798,500원 → 2,882,500원
- 6급 1호봉: 2,308,700원 → 2,378,900원
- 7급 1호봉: 2,173,600원 → 2,238,700원
- 8급 1호봉: 2,028,200원 → 2,089,000원
- 9급 1호봉: 1,877,500원 → 1,933,800원
포인트: 9급 초임(1호봉)은 처음으로 월 200만원 돌파가 유력합니다.
교원 및 특정직 공무원
- 교원 9호봉: 2,247,400원 → 2,314,700원 (3.06% 인상)
- 교원 11호봉: 2,324,400원 → 2,394,100원 (3.03% 인상)
- 경찰·소방 1호봉: 2,010,500원 → 2,070,800원 (3.03% 인상)
교원·경찰·소방 공무원은 동일한 3.0% 기본 인상 외에 저호봉 구간에서 3.5% 가산 혜택을 추가로 받아 실질 인상폭이 더 큽니다.
2025년 주요 수당 및 복리후생 개선 사항
정액급식비
- 14만원 → 15만원 (- 월 1만원 인상 -)
직급보조비
- 18만 5천원 → 21만원 (- 월 2만 5천원 인상 -)
위험근무수당
- 6만원 → 7만원 (- 월 1만원 인상 -)
민원업무수당
- 기존 수당 없던 항목에 월 3만원 추가 신설
육아 지원 강화
- 육아휴직 대체인력 지원 예산 확대
- 자녀 돌봄 휴가 급여 보전율 상향 조정
실수령액 계산 예시
9급 초임(1호봉) 연간 전망
- 기본급 연간 합계: 1,933,800원 × 12개월 = 23,205,600원
- 정액급식비 연간: 150,000원 × 12개월 = 1,800,000원
- 직급보조비 연간: 210,000원 × 12개월 = 2,520,000원
- 위험근무수당 연간: 70,000원 × 12개월 = 840,000원
- 민원업무수당 연간: 30,000원 × 12개월 = 360,000원
추정 연봉(수당 포함): 약 28,725,600원
전년 대비 약 90만원 정도 인상된 셈입니다.
인상 영향 및 전망
저연차 공무원
- 생활 안정성 강화로 이직률 감소 기대
- 초기 정착 지원 강화 효과
고연차 공무원
- 상대적 인상폭은 동일하지만, 절대 금액 차가 적어 체감은 소폭
국민 눈높이
- 세금으로 충당되는 만큼 인상 적절성 논란 가능성
- 복지 예산 및 세입 구조 점검 필요
결론
2025년 공무원 봉급표 인상안은 8년 만의 최대폭인 3.0%를 기록하며, 특히 1~5호봉 등 저연차 구간에 가산폭을 더해 초기 경력 공무원의 생활 안정과 조직 내 인력 유출 방지에 집중한 것이 특징입니다. 수당과 복리후생 개선도 병행돼 체감 상승 효과가 기대됩니다. 다만 세금 지출 규모가 커지는 만큼 예산 집행의 투명성과 효율성 확보가 필수적이며, 국민 눈높이를 고려한 보수정책 운영이 지속적으로 요구됩니다.
반응형
'직업 직장' 카테고리의 다른 글
| 6급 대우공무원 수당 규정, 조견표 (0) | 2025.07.09 |
|---|---|
| 북한군 계급체계 - 상장, 상좌, 대좌, 중좌, 전사 복무기간 (0) | 2025.07.07 |
| 근로기준법 휴게시간, 점심시간 근로시간 포함 여부 (0) | 2025.06.06 |
| 1년차 연차휴가 개수 (0) | 2025.04.18 |
| 공무원 관내출장여비규정 (0) | 2025.03.17 |
목차
댓글